忆联eSSD加速某云计算平台实现SR-IOV应用

某云计算客户面向全世界各个国家和地区的政府机构、企业组织和个人开发者,提供全球领先的云计算、大数据、人工智能等技术产品与服务,以卓越的科技能力打造丰富的行业解决方案,构建开放共赢的云端生态,推动产业互联网建设,助力各行各业实现数字化升级。

客户需求

解决方案

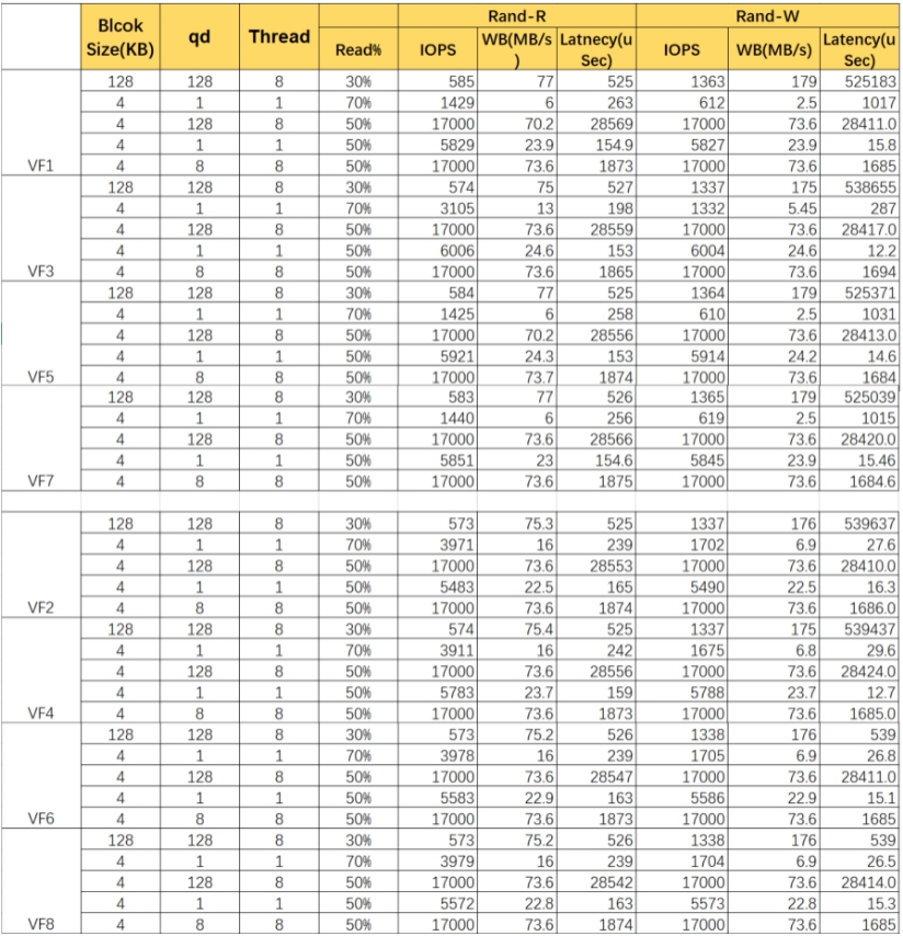
高性能存储提升业务效率:忆联在早期规划SR-IOV特性时就从控制器层面做了很多优化设计,基于硬件能力规划了QoS的能力,可以做到多块虚拟SSD硬盘之间性能隔离。


为了验证QoS的能力,在1分8的场景下,对SSD进行了充分的性能测试验证。数据显示:在SR-IOV特性上,忆联的QoS能力表现不俗,隔离效果明显,基本可以做到在业务使用场景下相互之间并无影响,确保使用SR-IOV以后,也依然可以保障虚拟SSD盘的大带宽、低时延。


一套存储可满足多种应用场景:忆联在设计SR-IOV之初,为了保障产品的高性能与高可靠性,对业务使用流程上的需求也进行了全面的考虑与分析,使得忆联的SR-IOV特性得以在各种业务流程和异常场景中都有应对的方案和措施。

测试验证表明,忆联的SR-IOV在新盘接入,盘片掉电恢复,异常换盘三种场景下均有比较高的可靠性保障方案,以保证在多种场景下的业务运行的稳定性、连续性。

案例价值

资料下载
产品中心
企业级固态硬盘
数据中心级固态硬盘
消费级固态硬盘
嵌入式存储
标杆案例
技术方案
运营商
金融
互联网
云计算
大数据
消费电子
核心能力
存储控制器开发
固件设计
封装测试
解决方案
天工智能生产制造平台
忆联企业级存储创新中心
关于忆联
企业简介
企业文化
荣誉资质
大事记
联系我们
加入我们
新闻资讯
公司新闻
产品资讯
服务支持
下载中心
咨询与投诉
投资者关系
公司治理
管理团队
财务报告
最新公告
加入我们
社会招聘
校园招聘

深圳忆联信息系统有限公司

地址:深圳市南山区记忆科技后海中心B座19楼

电话:0755-2681 3300

邮箱:support@unionmem.com

  • 微信:
  • 官方微博

  • Copyright © 2020-2026 All Rights Reserved. 粤ICP备18155700号 技术支持:深圳忆联信息系统有限公司 法律声明 隐私政策